近期,K体育·「中国」官方网站理论物理团队赵树民教授在夸克味道破坏的研究上取得新进展,相关工作“The Higgs boson decayh → bsin the U(1)xSSM”发表在国际著名期刊《Journal of High Energy Physics》(10(2024) 116)。硕士研究生高松为论文第一兼通讯作者,赵树民教授为共同通讯作者。
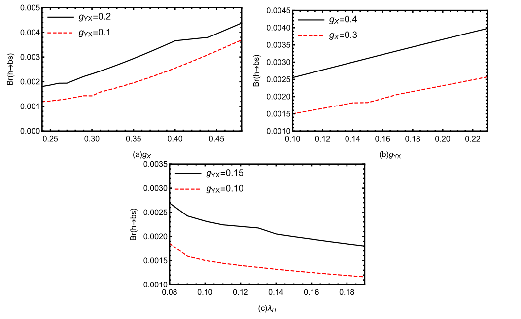
在标准模型中,改变味道的中性流(FCNC)仅在圈图层面发生,因此受到高度抑制,夸克味道破坏过程的分支比低,这在目前或未来的实验中都很难观察到。但是在U(1)xSSM模型下,由于新物理粒子的引入,提高了夸克味道破坏过程的分支比。目前,能够准确测量希格斯玻色子衰变到bb的过程,但是仍然没有证据表明衰变过程h → bs的存在,因为这种衰变模式在标准模型的分支比非常低,难以被实验观测到。对于希格斯衰变h → bs的分支比,国际直线对撞机(ILC)理论上可以达到亚百分比的灵敏度。尽管这些衰变道受到量子色动力学(QCD)背景的严重影响,在大型强子对撞机(LHC)上很难或不可能观测到,但它们可能在国际直线对撞机上轻松实现,这对于探索新物理非常重要。
该论文在U(1)xSSM模型下,对夸克味道破坏的h → bs衰变过程进行研究。考虑最轻Higgs粒子质量、轻子及夸克质量等的约束条件,分析了不同敏感参数对结果的影响,得到的理论值可以接近目前的实验探测敏感度,为未来实验探测提供了理论指导。

为了更好地研究参数的影响,团队人员基于卡方分析绘制了一些多维散点图,选择了在卡方的3σ范围内的值,以显示变量与Br(h → bs)之间存在更显著的相关性。

该工作得到了国家自然科学基金项目,河北省自然科学基金项目,和河北大学研究生创新资助项目的资助。
论文链接:https://doi.org/10.1007/JHEP10(2024)116