理论物理研究团队杨荣佳教授和研究生刘明在暴胀宇宙学研究领域取得进展,相关工作“Hamilton-Jacobi formalism for k-inflation”发表在知名国际期刊《Physics of the Dark Universe》,杨荣佳教授为论文第一兼通讯作者。
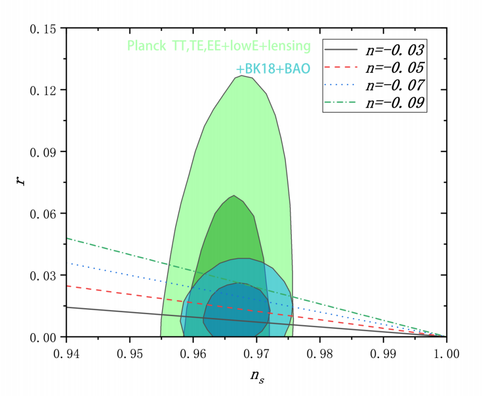
暴胀是解决大爆炸宇宙学疑难问题的最简洁的理论,然而暴胀场的本质是什么仍然是宇宙学最大的挑战之一。K-inflation模型,是以具有非正则动能的k-essence场为暴胀场,近年来颇受关注。本研究构造了一种k-inflation模型,利用Hamilton-Jacobi形式,得到了一些重要的可观测量的具体表达式,如标量功率谱、张标比、标量谱指数等,并运用Planck卫星观测数据对模型的参数进行了限制,给出了势能的具体形式,绘制出张标比和势能演化图。研究表明:这种k-inflation模型能够和观测数据很好地吻合。

张标比与标量谱指数的关系
上述工作得到了国家自然科学基金重点项目和河北省自然科学基金面上项目等经费的资助。
论文链接:https://doi.org/10.1016/j.dark.2024.101560