近日,K体育·「中国」官方网站低维能量转换材料与器件课题组在金属碲化物PbBi2Te4热电材料性能研究方面取得新进展。相关工作“Enhanced thermoelectric properties of layered anisotropic PbBi2Te4through the suppression of bipolar diffusion effect via Se alloying”以河北大学为第一单位发表在《Applied Physics Letters》(2024, 124, 103902)。钱鑫博士为第一作者,王淑芳教授和电子信息工程学院丁帮福博士为共同通讯作者。
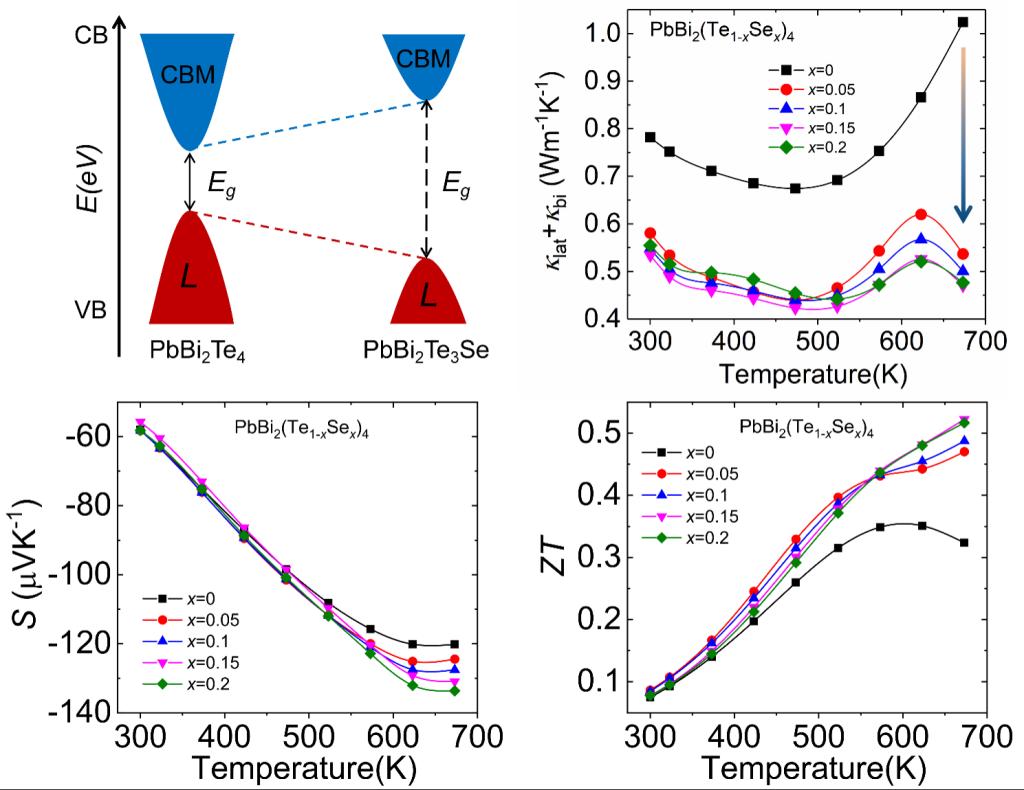
由于层状三元化合物PbBi2Te4具有复杂的晶体结构而被视为一种有前景的热电材料。然而,目前关于PbBi2Te4的研究主要集中在理论计算和预测上,对其实际热电输运性质的研究有限。本研究中,我们通过高温熔融法合成了单相PbBi2Te4化合物,结果表明,PbBi2Te4展现出显著的热电性能各向异性和明显的双极扩散效应,这可以归因于其独特的层状晶体结构和相对较窄的带隙,这种双极扩散效应降低了PbBi2Te4的泽贝克系数并放大了其热导率。为了解决这些问题,本工作通过掺杂Se有效地调控了PbBi2Te4的能带结构并扩大了其带隙,双极扩散效应得到了显著抑制,最终提高了PbBi2Te4的泽贝克系数并显著降低了热导率,PbBi2(Te0.85Se0.15)4的最大ZT值可以达到~0.52,相比未掺杂的PbBi2Te4提高了49%。以上研究表明三元金属碲化物PbBi2Te4作为一种n型热电材料具有巨大的提升潜力。

以上工作得到了国家自然科学基金、河北省高等学校科学研究项目、河北省引进留学人员资助项目、河北大学高层次人才研究启动项目和物理学院公共测试中心的大力支持。
文章链接:https://doi.org/10.1063/5.0192731