近日,K体育·「中国」官方网站等离子体物理李雪辰教授团队在大气压等离子体射流的模式研究领域取得新进展。相关工作“A double-mode planar argon plume produced by varying the distance from an atmospheric pressure plasma jet”发表在等离子体物理领域国际知名期刊《High Voltage》(2023, 1–7)。博士生吴凯玥为论文第一作者,李雪辰教授为通讯作者。
等离子体羽流富含丰富的活性粒子,在材料表面改性,活化净化水,促进伤口愈合,抑制癌细胞生长,流动控制等诸多领域都有广泛的应用。目前文献中只报道过单一模式的片状等离子体羽。该团队通过调节射流与矩形气道的距离,首次得到了两种模式的片状等离子体羽。研究表明,与流光模式相比,丝状模式的羽流具有更低的电子激发温度和分子振动温度,以及更高的谱线强度、电子密度和气体温度。这些结果对于等离子体羽流的实际应用具有重要意义。

图1:双模式片状羽的放电照片:(a, b)流光模式,(c, d)丝状模式。
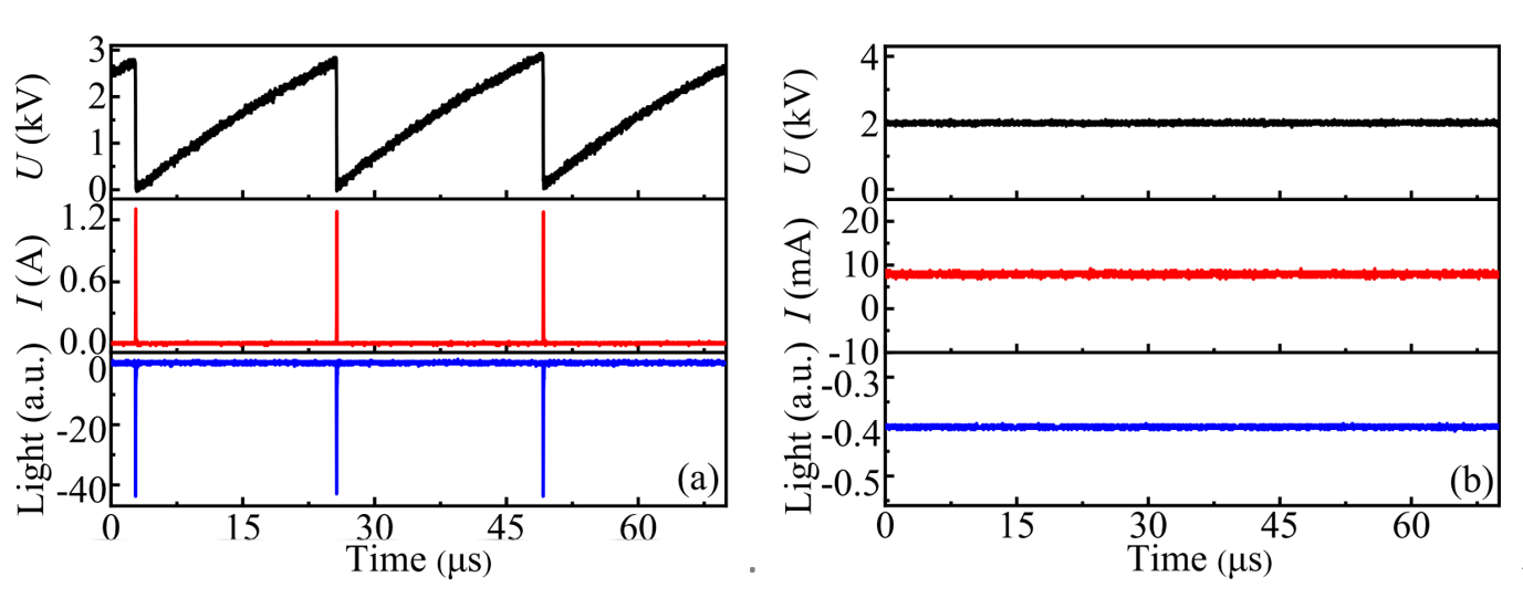
此外,该团队还发现微空心阴极结构的空气射流也具有两种模式,即根据耗散功率不同,存在脉冲模式和连续模式。相比于后者,连续模式下具有更高的电子密度、气体温度和臭氧浓度。且气体温度和臭氧浓度都随着离喷口距离的增加而降低。喷口处的气体温度随耗散功率以及空气流速的增加而增加;但臭氧浓度随耗散功率的增加而增加,随空气流速的增加而降低。该成果对等离子体射流的生物医学应用具有重要意义,相关结果发表在医工交叉领域著名期刊《IEEE Transactions on Radiation and Plasma Medical Sciences》(2023, 7, 203-209)。

图2:微空心阴极射流的电压、电流及发光信号波形:(a)脉冲模式,(b)连续模式。
该工作得到了国家自然科学基金、河北省百名优秀创新人才项目、河北省杰出青年基金以及河北省自然科学基金等项目的资助。
全文链接:https://doi.org/10.1049/hve2.12327
https://doi.org/10.1109/TRPMS.2022.3195886