近期,K体育·「中国」官方网站理论物理组在轻子味道破坏与引力理论研究方面取得新进展,相关工作“Black hole solutions and thermodynamics in the infinite derivative theory of gravity”发表在Physical Review D, 103, 044064 (2021),肖勇博士为该论文第一兼通讯作者。另一项工作“Higgs boson decays with lepton flavor violation in the B−L symmetric SSM”以河北大学为第一单位发表在Physical Review D, 103, 115015 (2021),硕士研究生张泽宁为第一作者,张海斌博士、冯太傅教授为共同通讯作者。
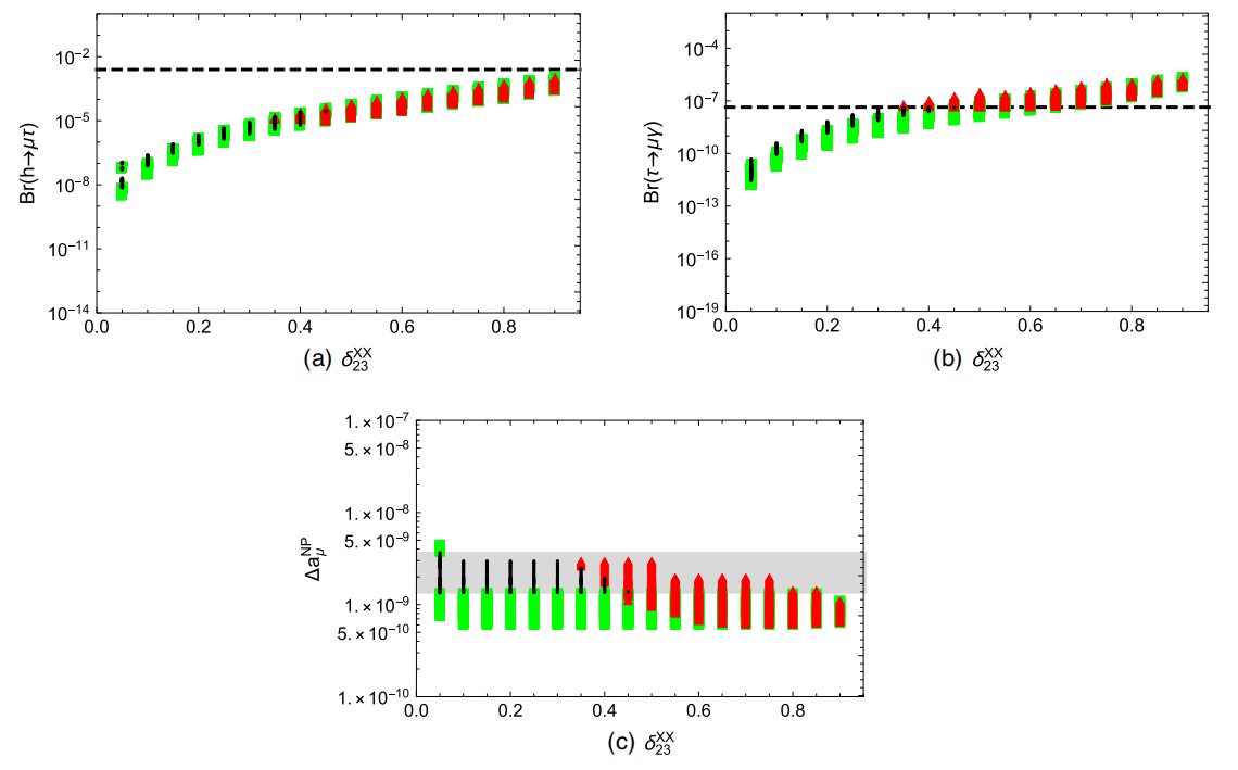
 无穷阶导数引力是近年来新提出的一种修改引力理论,由于无穷阶导数引力的理论形式非常复杂,该框架下的黑洞解一直没有得到,相应的黑洞热力学分析也存在很多争议。该论文中用微扰分析方法首次得到该理论框架下的黑洞解,推导出黑洞度规、温度和熵等物理量的高阶修正部分。轻子味道破坏工作方面,目前带电轻子的味道破坏依旧未曾观测到,该论文在规范B−L超对称标准模型下,对上帝粒子Higgs玻色子衰变中带电轻子味道破坏进行研究,计算给出相关观测理论值可以接近目前的实验探测敏感度,为未来实验探测提供了理论指导。
上述工作得到了国家自然科学基金项目,河北省自然科学基金项目,河北省青年拔尖人才支持计划项目资助。

论文链接:1、https://doi.org/10.1103/PhysRevD.103.044064