您的位置: 首页 > 科研进展 > 正文

科研进展

低维能量转换材料与器件课题组在高性能热电材料方面取得新进展

添加时间:2022-01-31 17:32:23   浏览次数: 次

近期,K体育·「中国」官方网站低维能量转换材料与器件课题组与华中科技大学杨君友教授团队的合作,在近室温区高性能热电材料方面取得新进展,研究成果“ds-Block Element-Enabled Cooperative Regulation of Electrical and Thermal Transport for Extraordinary N- and P‑Type PbSe Thermoelectrics near Room Temperature”以河北大学为第一署名单位在线发表于《Chemistry of Materials》(DOI: 10.1021/acs.chemmater.1c04123),张旦博士为第一作者,华中科技大学杨君友教授、罗裕波教授和K体育·「中国」官方网站王淑芳教授为共同通讯作者。另一项工作“Effects of La Doping Induced Carrier Concentration Regulation and Band Structure Modification on Thermoelectric Properties of PbSe”发表在《Scripta Materialia》(2022,208,114360),K体育·「中国」官方网站硕士生徐芳为第一作者,张旦博士、华中科技大学杨君友教授和王淑芳教授为共同通讯作者。

热电能源转换技术可实现电能和热能的直接相互转化,具有安静、可靠、易维护和体积小等优点,在余热回收利用、半导体制冷等领域等方面具有重要的应用前景。PbSe基热电材料由于能带结构良好、热导率低、熔点高及组元廉价而备受关注。作者提出引入ds区元素解耦电声输运特性的新策略,实现了PbSe电热输运的协同调控,在N型和P型PbSe中同时实现了与商业碲化铋相媲美的热电性能。一方面,拓宽了PbSe热电材料的应用温度范围(300-523K);另一方面,通过与其他中温区高性能PbSe叠层的方式可实现在宽温度范围内均保持优越的热电性能,使得PbSe基热电材料在实际应用中更具有竞争力和发展前景。

图1 近室温区高性能PbSe基热电材料示意图

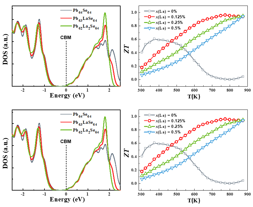
另一项工作中,通过在PbSe中引入独特的稀土元素La,可以实现载流子浓度和能带结构的协同调控,进而在中温区(523-873K)获得了高的电输运性能和热电性能。此外,与其合作者共同研究成果“High Power Factor and Thermoelectric Figure of Merit in Sb2Si2Te6 through Synergetic Effect of Ca Doping”也发表于《Chemistry of Materials》(2021, 33, 20, 8097),张旦博士为共同通讯作者。

图2 La掺杂提高PbSe热电性能示意图

以上工作得到了国家自然科学基金、河北省自然科学基金和河北大学高层次人才引进经费等项目的资助。

文章链接:

1. https://pubs.acs.org/doi/abs/10.1021/acs.chemmater.1c04123

2. https://www.sciencedirect.com/science/article/pii/S1359646221006400

3. https://pubs.acs.org/doi/abs/10.1021/acs.chemmater.1c02895

回顶部

联系方式

地址:河北保定五四东路180号
邮编:071002
网址:http://wlxy.hbu.cn