您的位置: 首页 > 科研进展 > 正文

科研进展

理论物理组在高能物理实验研究领域取得新进展

添加时间:2022-10-11 10:58:02   浏览次数: 次

近日,K体育·「中国」官方网站理论物理组在高能物理实验研究领域取得新进展,相关结果“Improved description of the e+e−→p(_)pπ0 cross section line shape and more stringent constraints on ψ(3770) and ψ(4230)→p(_)pπ0”以河北大学为第一单位发表在《Phys. Rev. D》 106 (2022) 5, 054014。K体育·「中国」官方网站王亚乾博士为论文第一兼通讯作者,中科院高能物理研究所苑长征研究员为共同通讯作者。

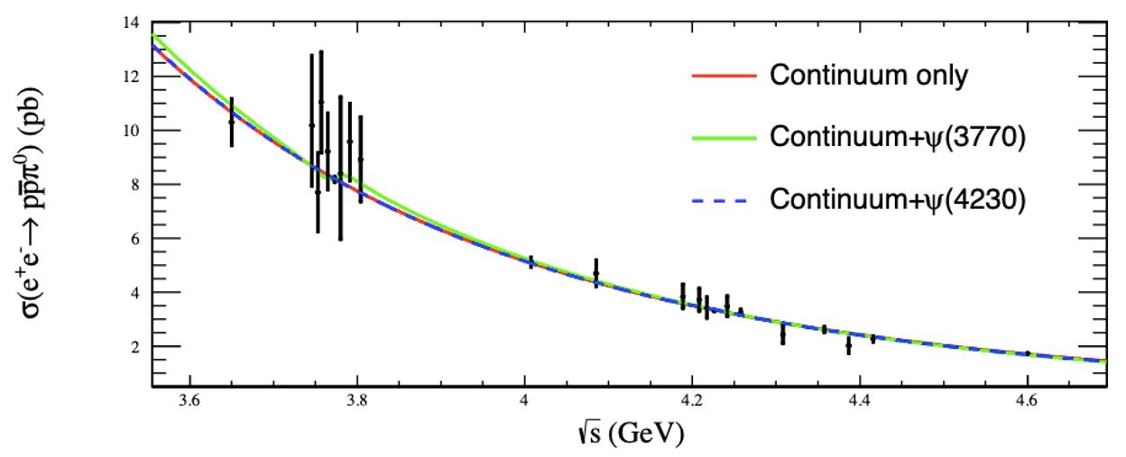
粲偶素ψ(3770)位于DD()阈值40 MeV以上,预期只能衰变到DD(_)末态,而实验测量的ψ(3770)产生截面却明显超出了DD()的贡献,这是ψ(3770)衰变到轻强子末态的一个有力证据。然而,实验上经过仔细寻找,尚未发现任何一个轻强子衰变道足以解释这种效应。另一方面,近年来实验上发现的一系列奇特强子态(XYZ)超出了标准模型对强子的描述,这些奇特强子态倾向于衰变到含有其他粲偶素的末态。通过研究轻强子末态的衰变,可以更好地了解这些奇特强子态的产生和衰变规律。本工作研究的ψ(3770) /ψ(4230)→p()pπ0就是一个典型的轻强子衰变道。该论文综合以往的实验结果,系统地研究了3.65 GeV-4.60 GeV范围内e+e-→p()pπ0的产生截面。经过拟合发现,来自共振态的产额显著性低于0.4 σ,整个截面谱形与非共振态产生完全一致,并符合典型的指数分布。该研究不仅刷新了ψ(3770) 和 ψ(4230)衰变到p()pπ0的结果,提出了更高的约束,也为正在计划中的p()p对撞实验(德国PANDA)提供了参考依据。

2022年初,王亚乾博士代表我校自加入BESIII合作组进行大科学装置实验,主要从事粲偶素,QCD 和新型强子态的研究,近期取得了一系列研究成果。其中,关于Λ 衰变中CP破坏的研究“Precise Measurements of Decay Parameters and CP Asymmetry with Entangled Λ−Λ()Pairs”发表在《Phys. Rev. Lett.》129 (2022) 13, 131801;关于Λc+的衰变研究“Measurement of branching fractions of singly Cabibbo-suppressed decays Λ+c→Σ0K+ and Σ+K0S”发表在《Phys. Rev. D》106 (2022) 5, 052003;关于粲偶素辐射跃迁的研究结果“Observation of ηc(2S)→3(π+π−) and measurements of χcJ→3(π+π−) in ψ(3686) radiative transitions”发表在《Phys. Rev. D》106 (2022) 3, 032014;关于新共振态的研究“Measurement of e+e−→π+π−D+D− cross sections at center-of-mass energies from 4.190 to 4.946 GeV”发表在《Phys. Rev. D》 106 (2022) 5, 052012。成功加入BESIII是我校参与大科学装置研究的一个新起点,不仅能为我校师生提供一个国际一流的科研平台,也为将来广泛开展国际合作与交流创造更多的机遇。

以上工作得到了国家自然科学基金和河北大学高层次引进人才项目的资助。

论文链接:
[1] https://doi.org/10.1103/PhysRevD.106.054014
回顶部

联系方式

地址:河北保定五四东路180号
邮编:071002
网址:http://wlxy.hbu.cn